Skip to Content

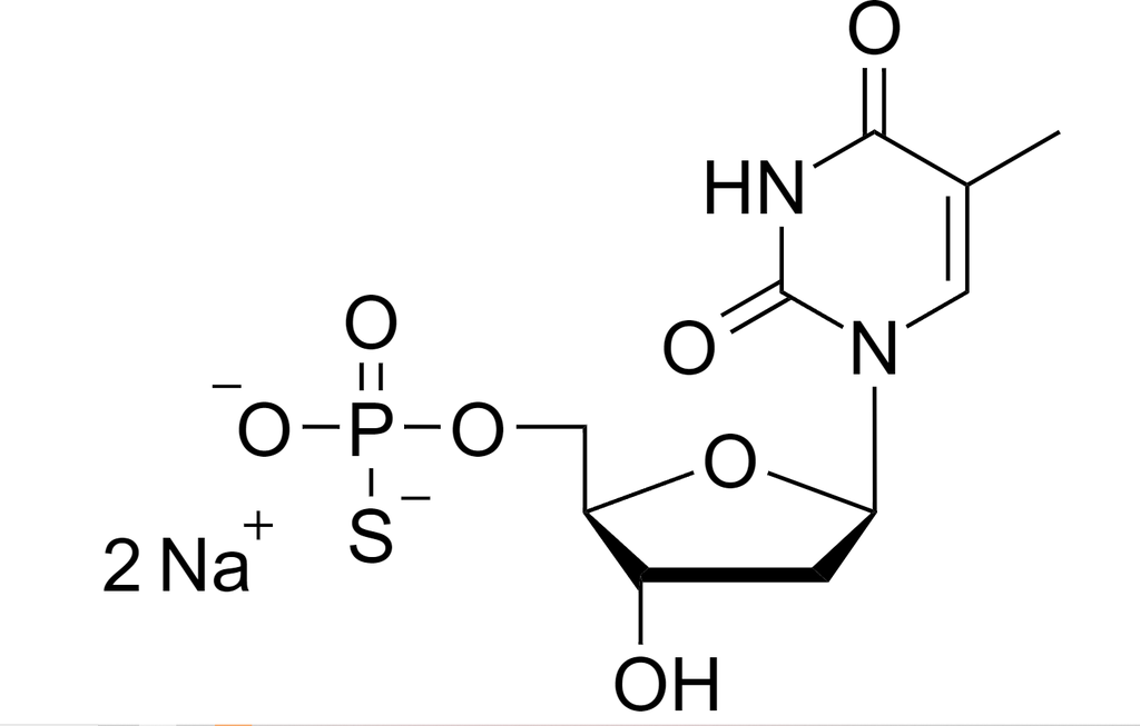
Thymidine-5'-O-monophosphorothioate (5'TMPS), sodium salt - 5 umol (~1.6 mg)

https://www.gentaur.be/web/image/product.template/7889/image_1920?unique=325b45d
(0 review)

0.00 € 0.0 EUR 0.00 € Tax Excluded

Not Available For Sale

    This combination does not exist.

    Terms and Conditions
    30-day money-back guarantee
    Shipping: 2-3 Business Days

    Potential substrate, competitive inhibitor or regulator of enzymes that interact with thymidine-5'-monophosphate. Can be modified with SH-reactive reporters or linked to structures with SH-groups via a disulfide bond. Detailed technical information available. Reference: Golos et al., Biol. Chem., 382, 1439 – 1445 (2001).


    CAS number[15548-51-3]
    Purity> 97% HPLC
    Salt formSodium
    Storage temperature-20°C / -4°F
    Molecular formulaC₁₀H₁₅N₂O₇PS (free acid)
    Molecular weight [g/mol]338.3 (free acid)
    Absorption max [nm]267
    Molar extinction coefficient ε [L·mol⁻¹·cm⁻¹]9600